El presente estudio se enfoca en evaluar la sensibilidad y especificidad del análisis de ADN fetal libre (cfDNA) en sangre materna para el diagnóstico de las principales trisomías fetales, específicamente la trisomía 21 (T21), trisomía 18 (T18) y trisomía 13 (T13). Adicionalmente, se comparan estos resultados con los obtenidos mediante el cribado combinado (CC) bioquímico y ecográfico. Se analizaron 582 gestaciones con más de 10 semanas de gestación.
Todos los resultados clasificados como de alto riesgo fueron confirmados mediante la determinación prenatal del cariotipo o tras el nacimiento. Se realizó seguimiento posnatal en todos los casos, con la excepción de 5 gestaciones en las que no se pudo confirmar el cariotipo debido a pérdida fetal tardía, aborto, o renuncia de los padres a su estudio.

Metodología del Estudio
Recolección y Análisis de Muestras
El análisis de cfDNA fue posible en el 97.1% de las muestras iniciales. En un 0.5% de los casos (3 muestras), no se obtuvo un resultado concluyente tras 2 o incluso 3 extracciones de sangre. La edad media de las pacientes incluidas en el estudio fue de 36.5 años, con un rango de 22 a 47 años. Las muestras fueron analizadas utilizando el Harmony test (Ariosa Diagnostics, California, EE. UU.), una técnica basada en la secuenciación selectiva de ADN fetal de regiones específicas en los cromosomas 21, 18 y 13. En 418 casos, se incluyó también la evaluación del riesgo de anomalías de los cromosomas sexuales.
Algoritmo FORTE y Cribado Combinado
Tras la secuenciación del ADN fetal libre, el algoritmo FORTE (Fetal-Fraction Optimized Risk of Trisomy Evaluation) proporciona un riesgo numérico para cada una de las trisomías estudiadas, considerando la fracción fetal (FF), la edad materna y la edad gestacional. En la mayoría de los casos, se determinó el riesgo de trisomías mediante el cribado combinado (CC), realizado en dos tiempos: extracción de sangre alrededor de la semana 10 para análisis de PAAP-A y beta-hCG libre, seguida de la medición del grosor de la translucencia nucal (TN) según criterios estandarizados. Se consideró riesgo alto aquel igual o superior a 1/100. En casos de riesgo intermedio (1/101-1/1.000), se valoraron marcadores de segundo orden como el hueso nasal, la onda de velocidad de flujo del ductus venoso y la regurgitación tricuspídea.
Confirmación de Resultados
Para la evaluación de la sensibilidad (S) y especificidad (E) de las técnicas, se utilizó como referente el cariotipo obtenido mediante estudio de líquido amniótico o vellosidad corial en los casos de alto riesgo. Los resultados de bajo riesgo se comprobaron mediante exploración clínica al nacimiento o contacto telefónico con pacientes que dieron a luz en otros centros.
Resultados Obtenidos
Análisis de cfDNA y Tasas de Éxito
El análisis de ADN fetal fue posible en el 99.5% de los casos. En 15 pacientes (2.8%), fue necesario repetir el test debido a una baja cantidad de ADN, y en 3 de ellas (0.5%), no se obtuvo resultado tras 2 o 3 determinaciones.
Detección de Trisomías Principales
En 14 pacientes (2.4%) de las 579 muestras estudiadas, el Harmony test identificó un alto riesgo (superior al 99%) de trisomía 21, lo cual fue confirmado en todos los casos mediante estudio citogenético. El valor predictivo positivo (VPP) para T21 fue del 100%. El Harmony test también resultó en alto riesgo de trisomía 18 en 3 casos (0.3%), confirmados posteriormente mediante biopsia de vellosidades coriales (BVC), con una sensibilidad y especificidad del 100% para esta trisomía.
Comparación con el Cribado Combinado (CC)
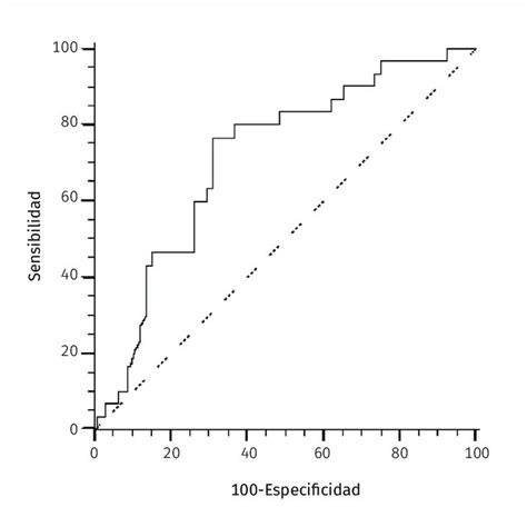
La sensibilidad del cribado combinado (CC) para trisomía 21 fue del 87.5%, con una tasa de falsos positivos del 6.7%. En comparación, el análisis de cfDNA demostró una alta sensibilidad y especificidad para establecer el riesgo de las principales trisomías fetales, con resultados probablemente superiores a los del CC. El número de procedimientos invasivos se redujo de manera muy significativa en la población de estudio.
Falsos Positivos y Negativos
No se observaron falsos positivos ni negativos en las 3 trisomías autosómicas estudiadas entre todos los casos analizados mediante estudio de ADN fetal en sangre materna. La sensibilidad y especificidad combinadas para todas las trisomías estudiadas con ambos métodos fueron S 87.5%; IC del 95%, 60-97 y E 92.3%; IC del 95%, 89.7-94.3.
Anomalías de los Cromosomas Sexuales
Seis gestantes presentaron riesgo alto de anomalías de los cromosomas sexuales en el análisis de sangre materna. Cuatro de ellas para síndrome de Turner, confirmándose en 2 casos. Una paciente presentó riesgo para síndrome de Klinefelter, confirmada prenatalmente, y otra para triple X (47XXX), que no fue confirmada tras amniocentesis. La especificidad y VPP para estas anomalías fueron del 50%.

Discusión y Conclusiones
Ventajas del Análisis de cfDNA
Las estrategias actuales para la detección de anomalías cromosómicas se centran en seleccionar adecuadamente a las pacientes con alto riesgo y hacerlo de forma precoz. El cribado combinado (CC) presenta una sensibilidad del 90% en las mejores series, con una tasa de falsos positivos del 5%. La ecografía, si bien puede mejorar su sensibilidad con marcadores de segundo orden, es una técnica operador dependiente y con variabilidad en los resultados.
El análisis de cfDNA en sangre materna ofrece una alta sensibilidad y especificidad, simplificando la interpretación y la toma de decisiones sobre intervenciones diagnósticas invasivas. Los resultados de alto y bajo riesgo tienden a situarse en los extremos, a diferencia de la distribución más dispersa del CC.
Reducción de Procedimientos Invasivos
El análisis de cfDNA ha demostrado una marcada capacidad para reducir el número de procedimientos invasivos, incluso en poblaciones de alto riesgo, manteniendo o incrementando la tasa diagnóstica. En este estudio, el análisis de cfDNA permitió una reducción muy significativa de estos procedimientos.
Limitaciones y Consideraciones
A pesar de los excelentes resultados, el análisis de ADN fetal en sangre materna es una prueba de cribado, no diagnóstica, y debe ser confirmada mediante pruebas invasivas (amniocentesis o BVC) ante un resultado de alto riesgo. Existen limitaciones como la imposibilidad de obtener suficiente ADN fetal en un pequeño porcentaje de casos, especialmente en pacientes obesas, o la menor sensibilidad en gestaciones múltiples. Además, la detección de anomalías de los cromosomas sexuales mediante cfDNA ha mostrado una elevada tasa de falsos positivos, lo que sugiere la necesidad de replantear su inclusión o interpretación, especialmente en fetos sin hallazgos ecográficos indicativos.
La fracción fetal (FF), el porcentaje de cfDNA fetal en la sangre materna, es un factor crucial para la precisión del test. Generalmente, la FF debe ser superior al 4% para obtener resultados fiables, lo cual suele ocurrir a partir de la décima semana de gestación. Una fracción fetal baja puede llevar a resultados falsos negativos o inconclusos.
Video animado Técnicas de Diagnóstico Prenatal NIPT 3RDMD
Conclusión Principal
El análisis de cfDNA en sangre materna se consolida como una herramienta de cribado prenatal con alta sensibilidad y especificidad para las principales trisomías fetales, ofreciendo una alternativa segura y eficaz que reduce significativamente la necesidad de procedimientos invasivos y mejora la precisión diagnóstica en comparación con los métodos tradicionales.
tags: #fetal #cfdna #porcentaje